顺序表的构建需要预先知道数据大小来申请连续的存储空间,而在进行扩充时又需要进行数据的搬迁,所以使用起来并不是很灵活。
例如: list = [200] —–> list = [200,400] —–>list = [200, 400, 600]
在扩充的时候,需要预估 400、600 的数据大小来申请存储空间,在进行 400 及其数据地址的搬迁和存储,那么这个时候,我们可以设想在申请 200 的存储空间时,再多出一块空间存储直接指向下一个数据的地址,这样就可以通过 200 这个数据去找到 400,而非重新检索一个新的、不相干的空间,同时在创建 400 的时候作再多一块空间出来存储 600,这样子所有的数据就都能够由最初的数据检索到。


单项链表
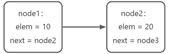
单向链表也叫单链表,是链表中最简单的一种形式,它的每个节点包含两个域,一个信息域(元素域)和一个链接域。这个链接指向链表中的下一个节点,而最后一个节点的链接域则指向一个空值。

- 表元素域elem用来存放具体的数据;
- 链接域next用来存放下一个节点的位置(python中的标识);
- 变量p指向链表的头节点(首节点)的位置,从p出发能找到表中的任意节点;
- 尾部节点最后的一个数据指向空。
对于元素很好理解,地址该如何理解呢?
在 python 中交换 a、b 变量数值操作为
其本质是什么呢?
在 python 当中,10 有属于自己的地址空间,而 a = 10 的意思是 a 的空间指向 10 的空间。
在执行这句话的时候,首先创建了一个存储空间 a,其空间地址为 0x21,然后将这个空间地址指向存储 10 的空间地址,是引用 10,而非赋值 10。

可以这么理解,变量 a 保存的是一个地址,=相当于一个指针,这个指针使得 a 的地址指向保存 10 的地址。
因此在 python 当中,a 可以=任何东西,例如 def、class 都可以,因为是它只是一个地址的名字,它的实际储存只是一个地址。通俗讲,大家都知道南京路 108 号有一个别墅,这个时候我说我申请了一块门牌,取名为 a,门牌地址是南京路 108 号,于是大家就明白了 a 这个地方是一个别墅,但其实呢,a 就是一个门牌,门牌储存了一个地址,这个地址上是一个别墅,但是你不能说我的 a 上面建了一个别墅,它是门牌,只是我的门牌地址指向一个别墅罢了。
明白了这个之后,就可以明白链表是怎么运作的

next = node2 这一步的意思就是,next 这个存储空间存储的地址是指向 node2 的地址。
节点的创建方式:
1 2 3 4 5 6 7
| class SingleNode(object): """单链表的结点""" def __init__(self,item): self.item = item self.next = None
|
通过以上创建 node = SingleNode(100) 时,会创建 | 100 | none | 这样一个数据。
我们需要的单链表的操作:
- is_empty() 链表是否为空
- length() 链表长度
- travel() 遍历整个链表
- add(item) 链表头部添加元素
- append(item) 链表尾部添加元素
- insert(pos, item) 指定位置添加元素
- remove(item) 删除节点
- search(item) 查找节点是否存在

在此,我们构建的 SingleLinkList 是一种新的数据类型,在使用该新数据类型的时候,相当于创建一个该数据类型的对象。例如:single_obj = SingleLinkList() =====> li = List()
li、single_obj 都是具体的对象,而 SingleLinkList、List 都是类,是数据类型,是抽象的,不具体的。所以,在其中每一个链表的头节点都应该是一个对象属性, init 方法中 self.head 指向 none。而在完成了初始化之后,我们这个对象的的属性必须只能用自己内部的 def 使用,于是要用** _head 表示私有**。
1 2 3 4 5 6 7 8 9 10 11 12 13 14 15 16 17 18 19 20 21 22 23 24 25 26 27 28 29 30 31
| class SingleLinkList(object): """单链表""" def __init__(self): self._head = None
def is_empty(self): """判断链表是否为空""" return self._head == None
def length(self): """链表长度""" cur = self._head count = 0 while cur != None: count += 1 cur = cur.next return count
def travel(self): """遍历链表""" cur = self._head while cur != None: print(cur.item) cur = cur.next print("Done!")
|
头部添加元素

1 2 3 4 5 6 7 8
| def add(self, item): """头部添加元素""" node = SingleNode(item) node.next = self._head self._head = node
|
尾部添加元素
1 2 3 4 5 6 7 8 9 10 11 12
| def append(self, item): """尾部添加元素""" node = SingleNode(item) if self.is_empty(): self._head = node else: cur = self._head while cur.next != None: cur = cur.next cur.next = node
|
指定位置添加元素

1 2 3 4 5 6 7 8 9 10 11 12 13 14 15 16 17 18 19 20 21
| def insert(self, pos, item): """指定位置添加元素""" if pos <= 0: self.add(item) elif pos > (self.length()-1): self.append(item) else: node = SingleNode(item) count = 0 pre = self._head while count < (pos-1): count += 1 pre = pre.next node.next = pre.next pre.next = node
|
删除节点

1 2 3 4 5 6 7 8 9 10 11 12 13 14 15 16 17 18 19
| def remove(self,item): """删除节点""" cur = self._head pre = None while cur != None: if cur.item == item: if not pre: self._head = cur.next else: pre.next = cur.next break else: pre = cur cur = cur.next
|
查找节点是否存在
1 2 3 4 5 6 7 8
| def search(self,item): """链表查找节点是否存在,并返回True或者False""" cur = self._head while cur != None: if cur.item == item: return True cur = cur.next return False
|
测试
1 2 3 4 5 6 7 8 9 10 11 12 13 14 15 16 17 18 19 20 21 22 23 24 25 26 27 28 29 30
| if __name__ == "__main__": ll = SingleLinkList() ll.add(1) ll.add(2) ll.append(3) ll.insert(2, 4) print("length:",ll.length()) ll.travel() print(ll.search(3)) print(ll.search(5)) ll.remove(1) print("length:",ll.length()) ll.travel()
''' 结果 length: 4 2 1 4 3 Done! True False length: 3 2 4 3 Done! '''
|
链表与顺序表对比
| 操作 |
链表 |
顺序表 |
| 访问元素 |
O(n) |
O(1) |
| 在头部插入/删除 |
O(1) |
O(n) |
| 在尾部插入/删除 |
O(n) |
O(1) |
| 在中间插入/删除 |
O(n) |
O(n) |
为什么我们要用链表呢?
在使用链表的时候,存储的数据内存是连续的,假如我们有一堆庞大的数据,在常规读取的时候,分配的内存是离散的,这个时候要对这些庞大数据进行读取和操作,就很慢,而用链表储存数据时,能够将这些离散的内存地址连续串起来,这样计算机在读取你的数据时,就不用检索很久,只要找到链表的任意数据的任意内存位置,就能够对其他数据位置进行定位,从而直接检索查到,这样读取数据就会快很多。
对于插入/删除,随然链表和顺序表时间复杂度都是 O(n),但是两个 n 是不一样的。对于链表,n 是用在了遍历上,而对于顺序表,n 是用在 了数据搬迁上。
双向链表

相对于单向链表,双向链表在于,每个节点申请如上三个存储空间,并且把第一个块空间用来指向前一个节点。
操作:
- is_empty() 链表是否为空
- length() 链表长度
- travel() 遍历链表
- add(item) 链表头部添加
- append(item) 链表尾部添加
- insert(pos, item) 指定位置添加
- remove(item) 删除节点
- search(item) 查找节点是否存在
1 2 3 4 5 6 7 8 9 10 11 12 13 14 15 16 17 18 19 20 21 22 23 24 25 26 27 28 29 30 31 32
| class Node(object): """双向链表节点""" def __init__(self, item): self.item = item self.next = None self.prev = None
class DLinkList(object): """双向链表""" def __init__(self): self._head = None
def is_empty(self): """判断链表是否为空""" return self._head == None
def length(self): """返回链表的长度""" cur = self._head count = 0 while cur != None: count += 1 cur = cur.next return count
def travel(self): """遍历链表""" cur = self._head while cur != None: print cur.item, cur = cur.next print("")
|
上面这段代码与单向链表是一致的,可以通过 DLinkList(SingleLinkList) 来继承,这样就不用写这一段代码了。
1 2 3 4 5 6 7 8 9 10 11 12 13 14 15 16 17 18 19 20 21 22 23 24 25 26 27 28 29 30 31 32 33 34 35 36 37 38
| def add(self, item): """头部插入元素""" node = Node(item) if self.is_empty(): self._head = node else: node.next = self._head self._head.prev = node self._head = node
def append(self, item): """尾部插入元素""" node = Node(item) if self.is_empty(): self._head = node else: cur = self._head while cur.next != None: cur = cur.next cur.next = node node.prev = cur
def search(self, item): """查找元素是否存在""" cur = self._head while cur != None: if cur.item == item: return True cur = cur.next return False
|
指定位置插入节点

1 2 3 4 5 6 7 8 9 10 11 12 13 14 15 16 17 18 19 20 21 22
| def insert(self, pos, item): """在指定位置添加节点""" if pos <= 0: self.add(item) elif pos > (self.length()-1): self.append(item) else: node = Node(item) cur = self._head count = 0 while count < (pos-1): count += 1 cur = cur.next node.prev = cur node.next = cur.next cur.next.prev = node cur.next = node
|
删除元素

1 2 3 4 5 6 7 8 9 10 11 12 13 14 15 16 17 18 19 20 21 22 23 24 25
| def remove(self, item): """删除元素""" if self.is_empty(): return else: cur = self._head if cur.item == item: if cur.next == None: self._head = None else: cur.next.prev = None self._head = cur.next return while cur != None: if cur.item == item: cur.prev.next = cur.next cur.next.prev = cur.prev break cur = cur.next
|
单向循环链表

单链表的一个变形是单向循环链表,链表中最后一个节点的next域不再为None,而是指向链表的头节点。
操作:
- is_empty() 判断链表是否为空
- length() 返回链表的长度
- travel() 遍历
- add(item) 在头部添加一个节点
- append(item) 在尾部添加一个节点
- insert(pos, item) 在指定位置pos添加节点
- remove(item) 删除一个节点
- search(item) 查找节点是否存在
1 2 3 4 5 6 7 8 9 10 11 12 13 14 15 16 17 18 19 20 21 22 23 24 25 26 27 28 29 30 31 32 33 34 35 36 37 38 39 40 41 42 43 44 45 46 47 48 49 50 51 52 53 54 55 56 57 58 59 60 61 62 63 64 65 66 67 68 69 70 71 72 73 74 75 76 77 78 79 80 81 82 83 84 85 86 87 88 89 90 91 92 93 94 95 96 97 98 99 100 101 102 103 104 105 106 107 108 109 110 111 112 113 114 115 116 117 118 119 120 121 122 123 124 125 126 127 128 129 130 131 132 133 134 135 136 137 138 139 140 141
| class Node(object): """节点""" def __init__(self, item): self.item = item self.next = None
class SinCycLinkedlist(object, node=None): """单向循环链表""" def __init__(self): self._head = node if node: node.next = node def is_empty(self): """判断链表是否为空""" return self._head == None
def length(self): """返回链表的长度""" if self.is_empty(): return 0 count = 1 cur = self._head while cur.next != self._head: count += 1 cur = cur.next return count
def travel(self): """遍历链表""" if self.is_empty(): return cur = self._head print cur.item, while cur.next != self._head: cur = cur.next print(cur.item)
def add(self, item): """头部添加节点""" node = Node(item) if self.is_empty(): self._head = node node.next = self._head else: node.next = self._head cur = self._head while cur.next != self._head: cur = cur.next cur.next = node self._head = node
def append(self, item): """尾部添加节点""" node = Node(item) if self.is_empty(): self._head = node node.next = self._head else: cur = self._head while cur.next != self._head: cur = cur.next cur.next = node node.next = self._head
def insert(self, pos, item): """在指定位置添加节点""" if pos <= 0: self.add(item) elif pos > (self.length()-1): self.append(item) else: node = Node(item) cur = self._head count = 0 while count < (pos-1): count += 1 cur = cur.next node.next = cur.next cur.next = node
def remove(self, item): """删除一个节点""" if self.is_empty(): return cur = self._head pre = None if cur.item == item: if cur.next != self._head: while cur.next != self._head: cur = cur.next cur.next = self._head.next self._head = self._head.next else: self._head = None else: pre = self._head while cur.next != self._head: if cur.item == item: pre.next = cur.next return else: pre = cur cur = cur.next if cur.item == item: pre.next = cur.next
def search(self, item): """查找节点是否存在""" if self.is_empty(): return False cur = self._head if cur.item == item: return True while cur.next != self._head: cur = cur.next if cur.item == item: return True return False
|
单向循环链表区别于单向链表的实现方式的关键在于找尾部节点的方式不同,单向链表尾部节点指向 none,而单向循环链表的尾部节点指向头节点。